188bet金宝搏最新版本更新内容介绍

奖助贷

188bet金宝搏最新版本更新内容介绍2024-2025年五好班集体评审结果公示

信息发布者:周红 摄影者: 发布时间:2025-04-16 浏览量:

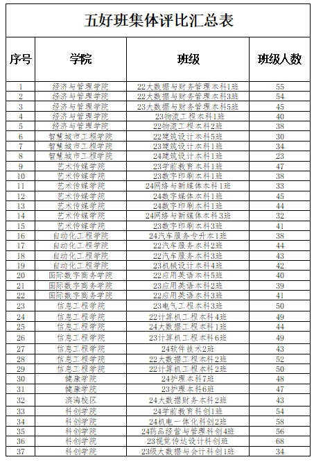
    根据《学生管理规定》中“五好班集体评选办法”,我校组织了2024-2025学年“五好班集体”评审工作。经各二级学院认真评选、初审、公示,学生处汇总、审核,拟评选出“五好班集体”37个,现将“五好班集体”名单予以公示:188bet金宝搏最新版本更新内容介绍五好班集体汇总表.xls

       公示时间为:416日至420

       如有异议,请在公示期内以书面材料形式向学生处反映。

       电话:15818820564

       地址:一站式服务大厅一楼学生处办公室

 image.png

 

                                                                                                  188bet金宝搏最新版本更新内容介绍学生处

                                                                                                           2025416

关注微信号

©版权所有:188bet金宝搏最新版本更新内容介绍

广州校区:广州市广从九路1038号滨海校区:茂名市高地智慧城慧城三街8号

粤ICP备20000181号-1 网站技术支持:品牌运营中心

Baidu
map